Introduction
Several powerful agents have been validated in multiple myeloma (MM) in the last decades: proteasome inhibitors (PI), immunomodulators (IMID), monoclonal antibodies against CD38, and immunotherapy targeting T cells cytotoxicity. Despite the improvement of therapy, relapses always occur, leading to relapse/refractory MM (RRMM) associated with dismal outcomes. At each relapse, treatment choice becomes a more and more complex decision. With the recent validation for combination in newly diagnosed MM of Daratumumab/Bortezomib/Lenalidomide and/or Dexamethasone (D) association, Carfilzomib (K), a second-in class PI and Pomalidomide (P), a second-in class IMID seems an exciting association to treat RRMM. Here, we analyzed our real-life experience of KPD in RRMM to evaluate the time to the next treatment (TTNT) in patients at Saint Louis Hospital, Paris.
Methods
We performed a real-life study of RRMM patients who received KPD triplet (eligible if they received one complete cycle of KPD without other treatments) from 2016 till June 2023. Responses were assessed as per the International Myeloma Working Group. The study was conformed to the Declaration of Helsinki.
Results
Twenty-seven patients were treated with KPD for RRMM in our center. The median age was 64 years (IQR 55-69 years), with a male ratio of 67% (n=18). The subtype of immunoglobulin was IgG (44%), followed by IgA (40%). Among the 26 (96%) patients with FISH available at relapse and before KPD, del 17p, t(4;14), gain 1q, and del 1p were present in 4 (15%), 7 (27%), 8 (31%) and 4 (15%), respectively. Nine (35%) had high-risk cytogenetics (del 17p or/and t(4;14)). At the first line, 15 (55%) received intensive options with autologous stem cell transplantation (ASCT). The first line was composed of Velcade (70%), anti-CD38 antibodies (19%) or IMID (78%: 48% Lenalidomide and 30% Thalidomide) with Dexamethasone. None had prior exposition to Carfilzomib, but three patients (11%) had exposition to Pomalidomide. Three (11%) patients had extra-medullary disease before KPD.
The median number of prior lines of chemotherapy was 2 (IQR 1-3), including 70% of the patients who received KPD at the second or third line. Fifteen (56%) patients were refractory to Bortezomib, 25 (93%) to Lenalidomide, 22 (82%) to anti-CD38 antibodies and one (4%) to Pomalidomide.
The median number of KPD cycles was 4 (IQR 2-10). All patients received a weekly dose of Carfilzomib except one who received a bi-weekly dose. Twenty (74%) patients started pomalidomide at 4 mg, one (4%) at 3 mg and 6 (22%) at 2 mg from day 1 into day 21.
ORR was 66%: CR (n=1, 4%), VGPR (n=7, 26%) and PR (n=10, 37%). Two (8%) patients had progressive disease at the first evaluation. The median time to treatment response was 3 months (IQR 2-6). The median duration of response was 1 year (95%CI 0.5-NA years). Among the 3 patients with prior exposition to Pomalidomide, two had a response to KPD: one PR and one VGPR. The patient refractory to Pomalidomide had stable disease after 2 cycles and then quickly progressive disease.
Concerning the side effects of KPD, cardiac toxicity from carfilzomib was reported, including 2 (8%) ischemic cardiac events, 1 (4%) transient ischemic attack, and 3 (11%) induced hypertension. Also, 2 (8%) patients experimented with acute renal failure and one (4%) with thrombotic microangiopathy (TMA) was observed. Three (11%) patients required hospitalization for infections (one candidemia, one flu linked to the TMA episode and one without documentation).
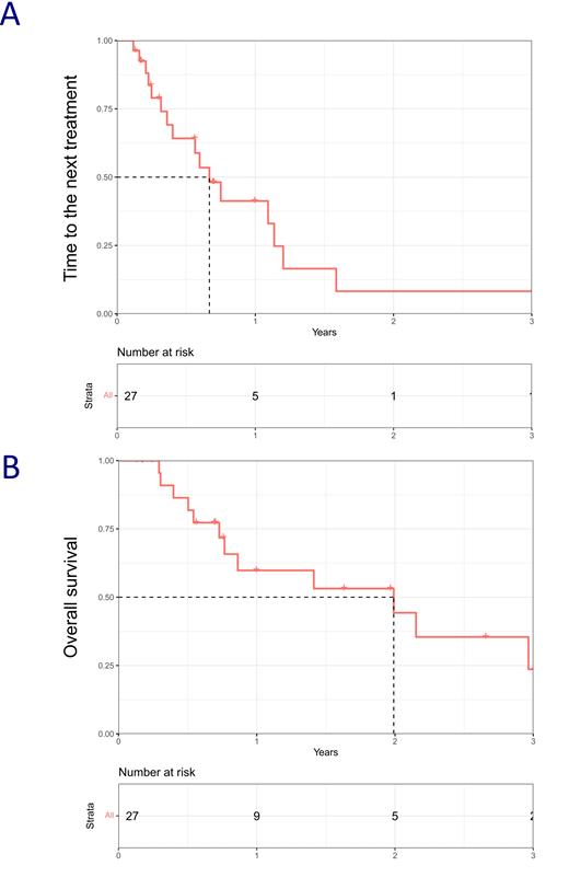
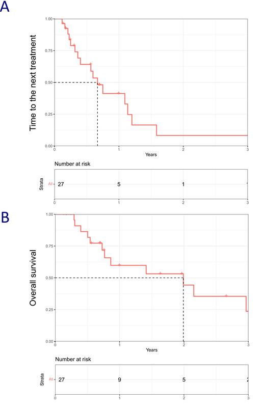
At a median follow-up of 1.6 years (0.7-3 years), the median TTNT and overall survival (OS) was 0.7 years (95%CI 0.4-NA years, figure A) and 2 years (95%CI 0.7-NA years, figure B). The mortality rate was 44% (n=12). Most patients had active myeloma at death (11 of 12 with 10 deaths related to myeloma and one from infection), and one died of infections. Ten (37%) patients continued the KPD combination at the last follow-up including two (8%) patients in a maintenance phase, including 1 for Pomalidomide and Dexamethasone after 15 cycles and one for Pomalidomide alone after 22 cycles of KPD.
Conclusion
In high-risk RRMM especially refractory to anti-CD38 antibodies and lenalidomide, KPD seems to be a valid option in early relapse. Second and third centers will be included in this real-life cohort of RRMM receiving KPD to increase the power of this analysis.
Disclosures
Arnulf:Bristol Myers Squibb: Consultancy, Honoraria, Other: Meeting travel payments; Sanofi: Consultancy, Honoraria, Membership on an entity's Board of Directors or advisory committees, Other: Meeting travel payments; Amgen: Honoraria, Membership on an entity's Board of Directors or advisory committees, Other: Meeting travel payments; Takeda: Honoraria, Membership on an entity's Board of Directors or advisory committees, Other: Meeting travel payments; Janssen: Honoraria, Membership on an entity's Board of Directors or advisory committees, Other: Meeting travel payments, Research Funding.
